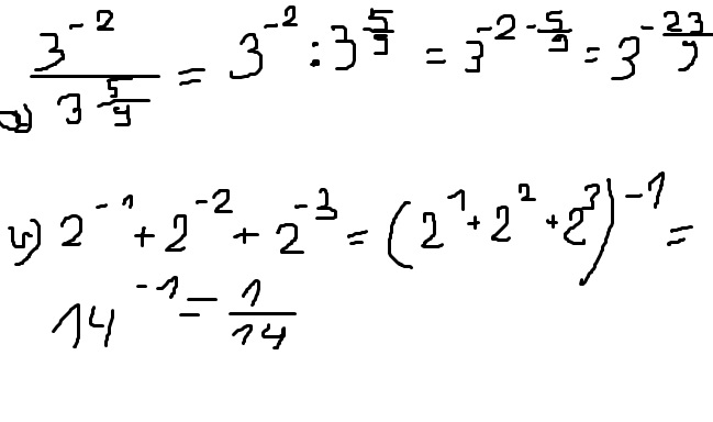
Oblicz korzystając z poznanych definicji, własności i twierdzeń: a) $3^{-2}$/$3^{5}$/9 b) $2^{-1}$+$2^{-2}$+$2{-3}$

Zadanie 6577 (rozwiązane)

Ekspresowy Kurs Maturalny z matematyki

Zdajesz matematykę bo musisz? Przygotuj się do matury nawet w 7 dni! Zapisz się dzisiaj
Zadanie dodane przez przezroczyscie , 28.07.2013 18:22
Default avatar
Oblicz korzystając z poznanych definicji, własności i twierdzeń:
a) 3^{-2}/3^{5}/9
b) 2^{-1}+2^{-2}+2{-3}

Nadesłane rozwiązania ( 1 )

Rozwiązanie 1 dodane przez Abaddon24 , 29.07.2013 00:53
Abaddon24 20111123224018 thumb
w załaczniku masz
Musisz się zalogować aby dodać komentarz

Znasz inny sposób na rozwiązanie tego zadania?

Dodaj swoje rozwiązanie

Dodaj swoje rozwiązanie:

Zabronione jest kopiowanie wszelkich treści!
Musisz się zalogować aby dodać rozwiazanie do zadania.
Strona korzysta z plików cookie w celu realizacji usług zgodnie z Polityką Prywatności. Możesz określić warunki przechowywania lub dostępu do cookie w twojej przeglądarce lub konfiguracji usługi.