Rozwiąż nierówności a) 3-(2x-4)(4+2x) \leq 1-(2x-5)^{2} b) (x+3)^{2} - \frac{2x-4}{3} \geq \frac{x-30}{3} - (x- \sqrt{3} ) (x+\sqrt{3} ) c) 2x- \frac{(3x-2)(3x+2)}{3} >3-3(x-1) ^{2} W razie jakiś nie dopatrzeń zadanie podam także w załączniku. Oczekuje pomocy bardzo ważżne :)

Zadanie 6737 (rozwiązane)

Ekspresowy Kurs Maturalny z matematyki

Zdajesz matematykę bo musisz? Przygotuj się do matury nawet w 7 dni! Zapisz się dzisiaj
Zadanie dodane przez NieUmiemMatmy , 18.10.2013 09:30
Nieumiemmatmy 20131018090522 thumb
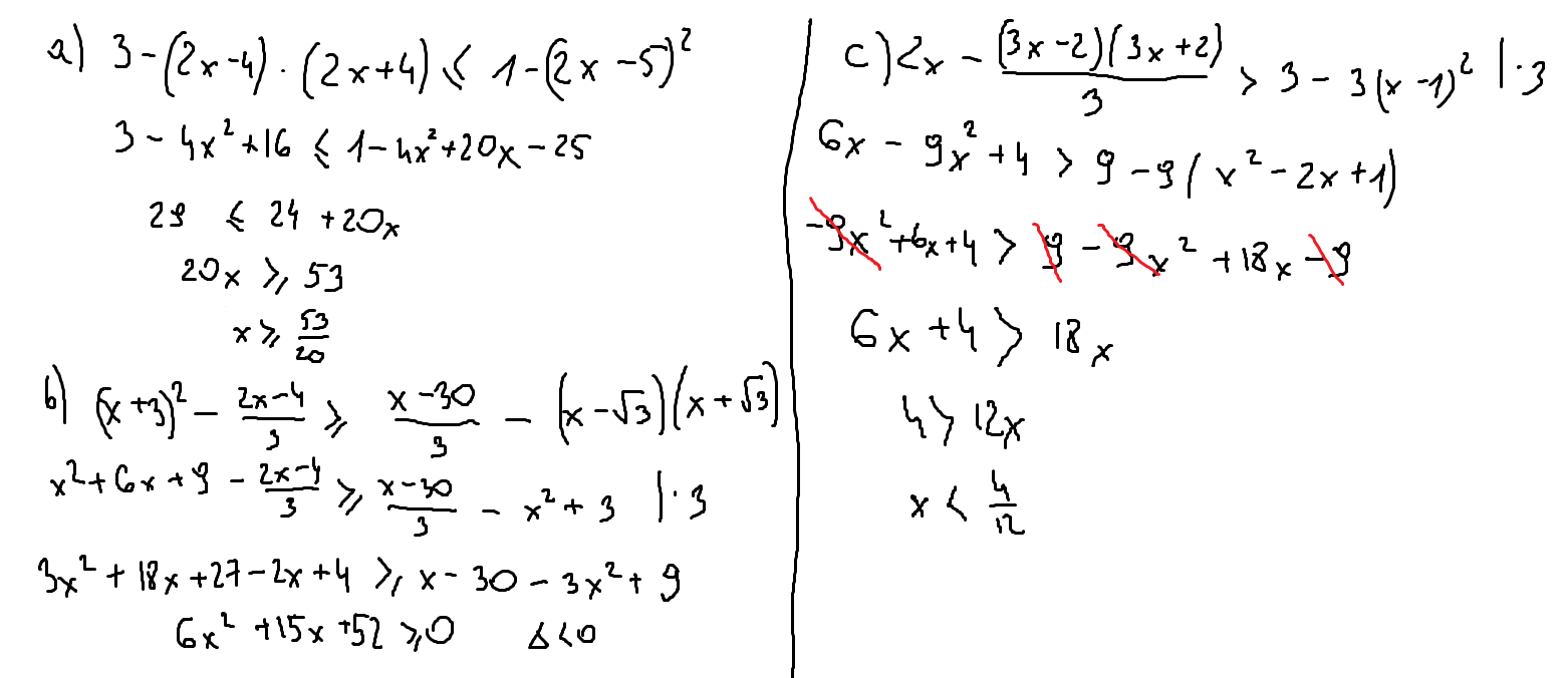
Rozwiąż nierówności
a) 3-(2x-4)(4+2x) \leq 1-(2x-5)^{2}

b) (x+3)^{2} - \frac{2x-4}{3} \geq \frac{x-30}{3} - (x- \sqrt{3} ) (x+\sqrt{3} )

c) 2x- \frac{(3x-2)(3x+2)}{3} >3-3(x-1) ^{2}



W razie jakiś nie dopatrzeń zadanie podam także w załączniku. Oczekuje pomocy bardzo ważżne :)

Nadesłane rozwiązania ( 1 )

Rozwiązanie 1 dodane przez iron_slax , 20.10.2013 12:11
Iron slax 20130911170220 thumb
Zadanie masz w załączniku. Szybciej mi było rozpisać
    • Anuuila 20120111164032 thumb
      anuuila 20.10.2013 12:29

      rozwiązujemy w Latex-sie!!

Musisz się zalogować aby dodać komentarz

Znasz inny sposób na rozwiązanie tego zadania?

Dodaj swoje rozwiązanie

Dodaj swoje rozwiązanie:

Zabronione jest kopiowanie wszelkich treści!
Musisz się zalogować aby dodać rozwiazanie do zadania.
Strona korzysta z plików cookie w celu realizacji usług zgodnie z Polityką Prywatności. Możesz określić warunki przechowywania lub dostępu do cookie w twojej przeglądarce lub konfiguracji usługi.