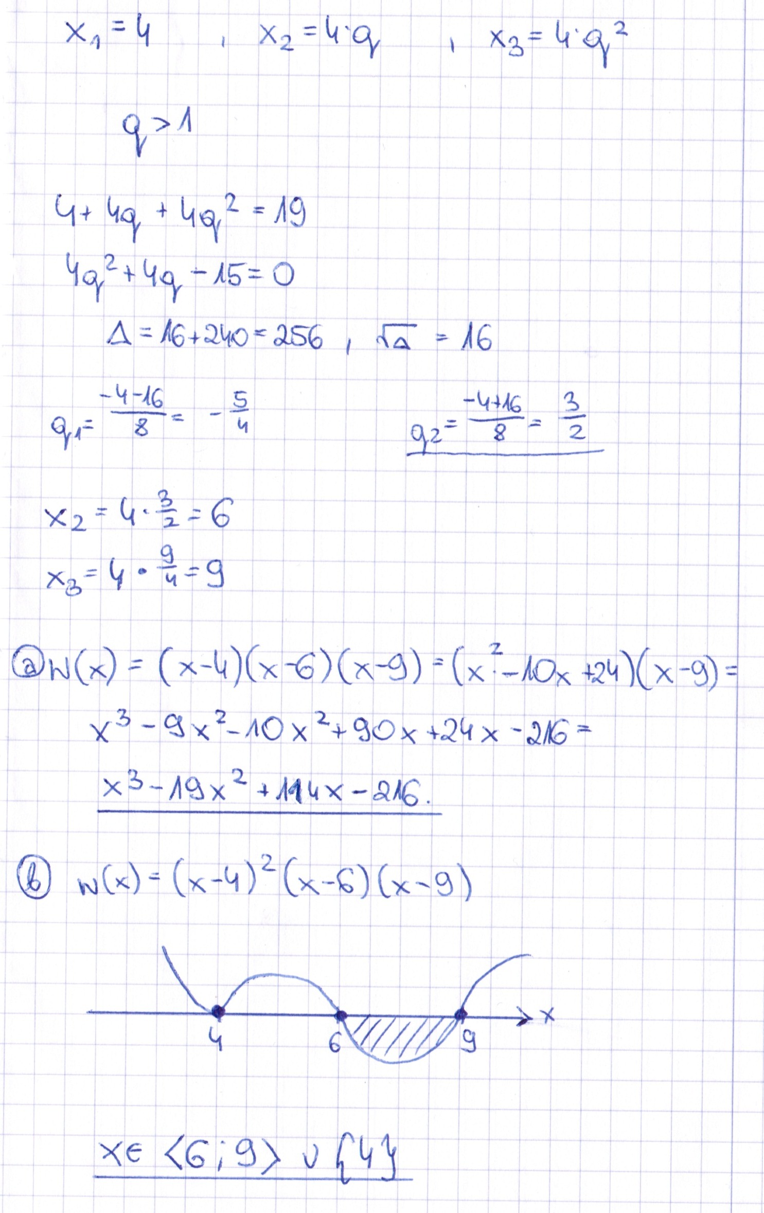
Dany jest wielomian trzeciego stopnia o współczynniku 1 przy najwyższej potędze. Pierwiastki tego wielomianu tworzą rosnący ciąg geometryczny o pierwszym wyrazie 4. Suma pierwiastków wielomianu jest równa 19. a) wyznacz zbiór tego wielomianu b) rozwiąż nierówność W(x)(x-4)mniejszy równy 0.

Zadanie 1991 (rozwiązane)

Ekspresowy Kurs Maturalny z matematyki

Zdajesz matematykę bo musisz? Przygotuj się do matury nawet w 7 dni! Zapisz się dzisiaj
Zadanie dodane przez dawid11204 , 16.02.2012 14:10
Dawid11204 20111106074654 thumb
Dany jest wielomian trzeciego stopnia o współczynniku 1 przy najwyższej potędze. Pierwiastki tego wielomianu tworzą rosnący ciąg geometryczny o pierwszym wyrazie 4. Suma pierwiastków wielomianu jest równa 19.
a) wyznacz zbiór tego wielomianu
b) rozwiąż nierówność W(x)(x-4)mniejszy równy 0.

Nadesłane rozwiązania ( 1 )

Rozwiązanie 1 dodane przez Patrycja12321 , 17.02.2012 14:22
Patrycja12321 20120217150119 thumb
Rozwiązanie w załączniku :)
Musisz się zalogować aby dodać komentarz

Znasz inny sposób na rozwiązanie tego zadania?

Dodaj swoje rozwiązanie

Dodaj swoje rozwiązanie:

Zabronione jest kopiowanie wszelkich treści!
Musisz się zalogować aby dodać rozwiazanie do zadania.
Strona korzysta z plików cookie w celu realizacji usług zgodnie z Polityką Prywatności. Możesz określić warunki przechowywania lub dostępu do cookie w twojej przeglądarce lub konfiguracji usługi.