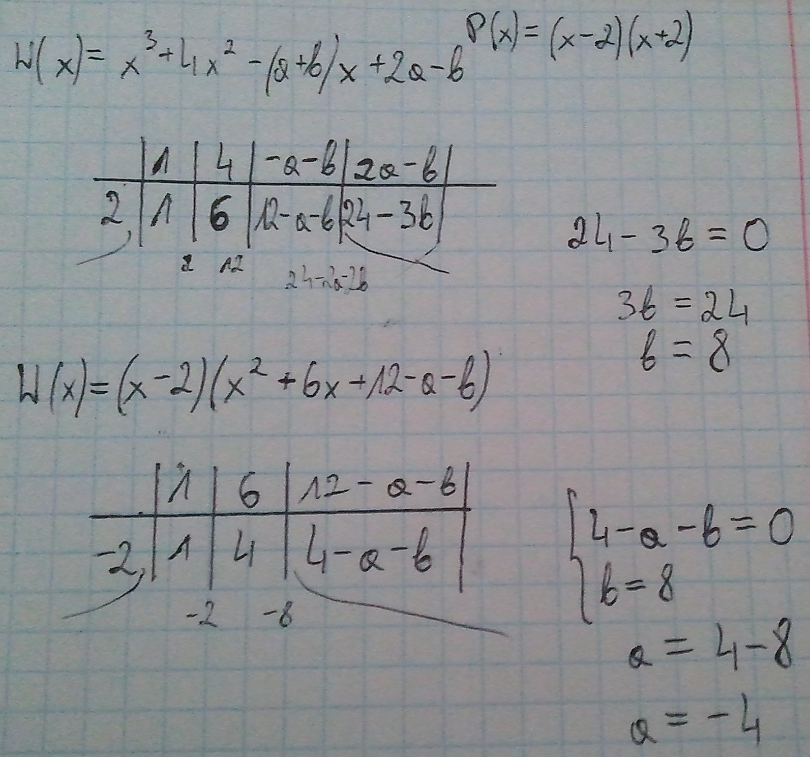
Wyznacz parametr a, b tak, aby wielomian W(x)=$x^{3}$+4$x^{2}$-(a+b)x+2a-b był podzielny przez wielomian P(x)=$x^{2}$-4.

Zadanie 1997 (rozwiązane)

Ekspresowy Kurs Maturalny z matematyki

Zdajesz matematykę bo musisz? Przygotuj się do matury nawet w 7 dni! Zapisz się dzisiaj
Zadanie dodane przez dawid11204 , 17.02.2012 09:33
Dawid11204 20111106074654 thumb
Wyznacz parametr a, b tak, aby wielomian W(x)=x^{3}+4x^{2}-(a+b)x+2a-b był podzielny przez wielomian P(x)=x^{2}-4.

Nadesłane rozwiązania ( 1 )

Rozwiązanie 1 dodane przez d_mek , 17.02.2012 12:03
D mek 20120307223004 thumb
Rozwiązanie w załączniku.
Komentarz:
Jeżeli wielomian W(x) jest podzielny przez P(x), to pierwiastki wielomianu P(x) są również pierwiastkami wielomianu W(x).
Czyli reszta z dzielenia wielomianu W(x) przez pierwiastki wielomianu P(x) musi być równa zero.
Na zdjęciu dzielenie schematem Hornera.

Pomogłem? Daj najlepsze rozwiązanie ;]
Musisz się zalogować aby dodać komentarz

Znasz inny sposób na rozwiązanie tego zadania?

Dodaj swoje rozwiązanie

Dodaj swoje rozwiązanie:

Zabronione jest kopiowanie wszelkich treści!
Musisz się zalogować aby dodać rozwiazanie do zadania.
Strona korzysta z plików cookie w celu realizacji usług zgodnie z Polityką Prywatności. Możesz określić warunki przechowywania lub dostępu do cookie w twojej przeglądarce lub konfiguracji usługi.