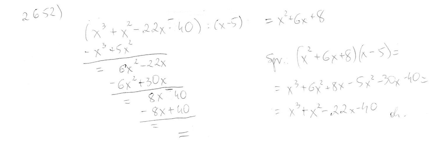
Podziel wielomiany (x^{3} → x3+x^{2} → x2-22x-40):(x-5)

Zadanie 2652 (rozwiązane)

Ekspresowy Kurs Maturalny z matematyki

Zdajesz matematykę bo musisz? Przygotuj się do matury nawet w 7 dni! Zapisz się dzisiaj
Zadanie dodane przez renata23125 , 20.03.2012 18:20
Default avatar
Podziel wielomiany (x^{3} → x3+x^{2} → x2-22x-40):(x-5)

Nadesłane rozwiązania ( 1 )

Rozwiązanie 1 dodane przez AnnaS , 05.05.2012 20:33
Annas 20120518205519 thumb
To pewnie mial byc wielomian x^{3}+x^{2}-22x-40? Rozwiazanie w zalaczniku.
Musisz się zalogować aby dodać komentarz

Znasz inny sposób na rozwiązanie tego zadania?

Dodaj swoje rozwiązanie

Dodaj swoje rozwiązanie:

Zabronione jest kopiowanie wszelkich treści!
Musisz się zalogować aby dodać rozwiazanie do zadania.
Strona korzysta z plików cookie w celu realizacji usług zgodnie z Polityką Prywatności. Możesz określić warunki przechowywania lub dostępu do cookie w twojej przeglądarce lub konfiguracji usługi.