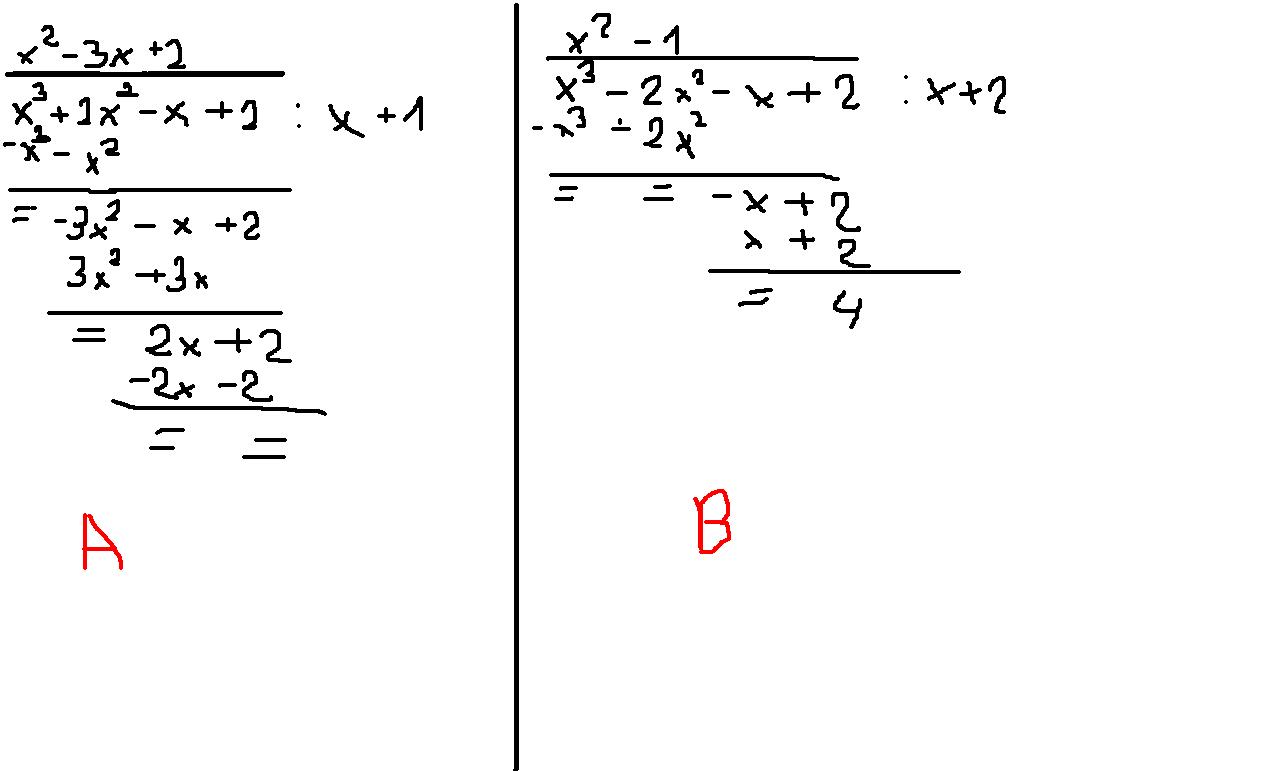
Dany jest wielomian w(x)=x³-2x²-x+2 - czy wielomian ten dzieli się bez reszty przez dwumian x+1? - oblicz resztę z dzielenia wielomianu w przez dwumian x+2

Zadanie 3275 (rozwiązane)

Ekspresowy Kurs Maturalny z matematyki

Zdajesz matematykę bo musisz? Przygotuj się do matury nawet w 7 dni! Zapisz się dzisiaj
Zadanie dodane przez nieuk , 22.04.2012 16:32
Default avatar
Dany jest wielomian w(x)=x³-2x²-x+2
- czy wielomian ten dzieli się bez reszty przez dwumian x+1?
- oblicz resztę z dzielenia wielomianu w przez dwumian x+2

Nadesłane rozwiązania ( 1 )

Rozwiązanie 1 dodane przez Abaddon24 , 22.04.2012 21:34
Abaddon24 20111123224018 thumb
A ).- nie ma reszty
B).-reszta to 4
Musisz się zalogować aby dodać komentarz

Znasz inny sposób na rozwiązanie tego zadania?

Dodaj swoje rozwiązanie

Dodaj swoje rozwiązanie:

Zabronione jest kopiowanie wszelkich treści!
Musisz się zalogować aby dodać rozwiazanie do zadania.
Strona korzysta z plików cookie w celu realizacji usług zgodnie z Polityką Prywatności. Możesz określić warunki przechowywania lub dostępu do cookie w twojej przeglądarce lub konfiguracji usługi.