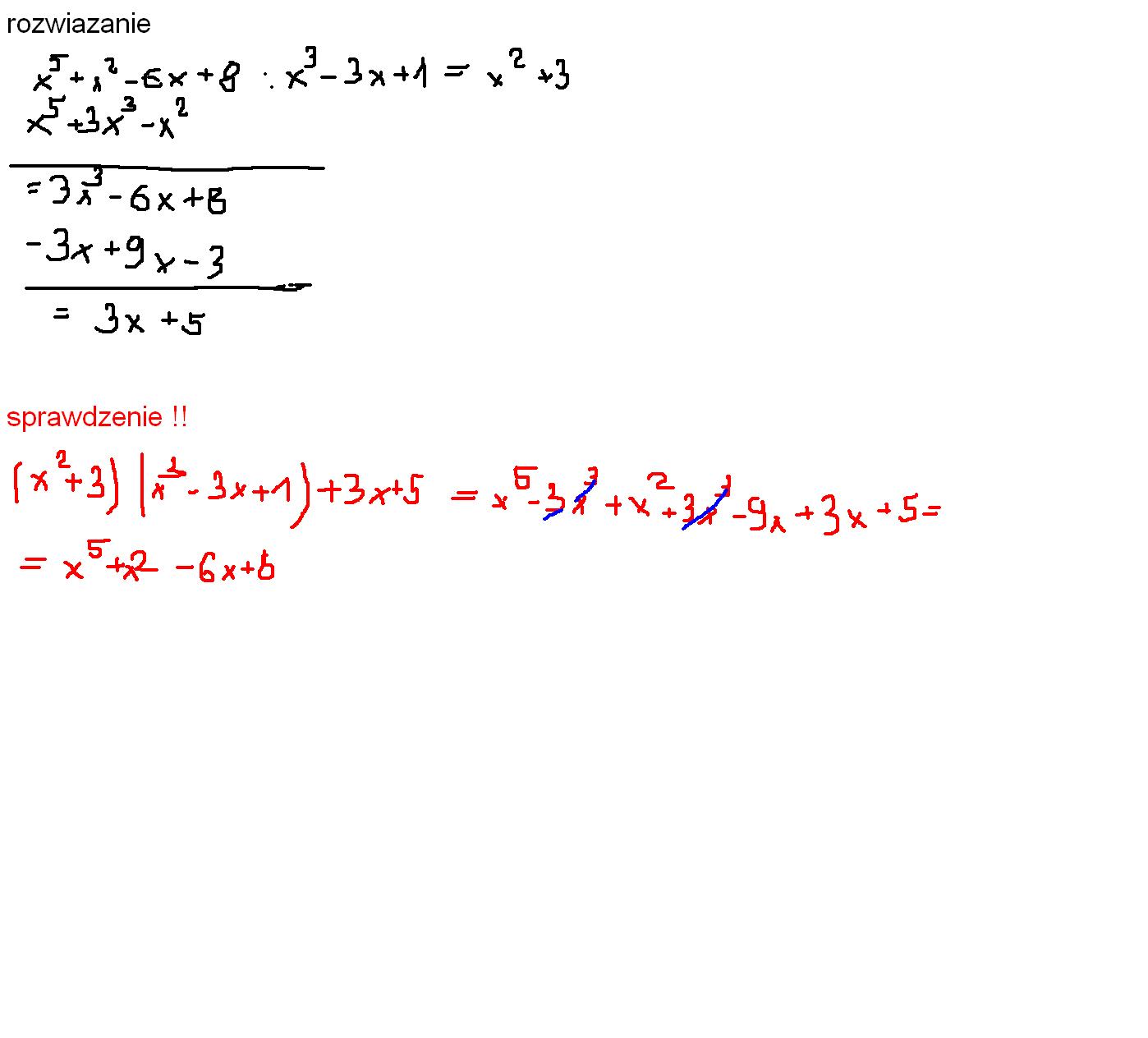
wykonaj dzielenie z resztą: ($x^(5)$+$x^(2)$-6x+8):($x^(3)$-3x+1)

Zadanie 3367 (rozwiązane)

Ekspresowy Kurs Maturalny z matematyki

Zdajesz matematykę bo musisz? Przygotuj się do matury nawet w 7 dni! Zapisz się dzisiaj
Zadanie dodane przez mariola230994 , 07.05.2012 15:47
Default avatar
wykonaj dzielenie z resztą:
(x^(5)+x^(2)-6x+8):(x^(3)-3x+1)

Nadesłane rozwiązania ( 2 )

Rozwiązanie 1 dodane przez Abaddon24 , 07.05.2012 16:17
Abaddon24 20111123224018 thumb
rozwiązanie jest w załączniku
Musisz się zalogować aby dodać komentarz
Rozwiązanie 2 dodane przez d_mek , 07.05.2012 16:29
D mek 20120307223004 thumb
Chyba chodziło Ci o:
(x^{5} + x^{2} - 6x + 8) : (x^{3} - 3x + 1)
Jeżeli tak, to rozwiązanie dodaję w załączniku.

R(x) - reszta
Musisz się zalogować aby dodać komentarz

Znasz inny sposób na rozwiązanie tego zadania?

Dodaj swoje rozwiązanie

Dodaj swoje rozwiązanie:

Zabronione jest kopiowanie wszelkich treści!
Musisz się zalogować aby dodać rozwiazanie do zadania.
Strona korzysta z plików cookie w celu realizacji usług zgodnie z Polityką Prywatności. Możesz określić warunki przechowywania lub dostępu do cookie w twojej przeglądarce lub konfiguracji usługi.