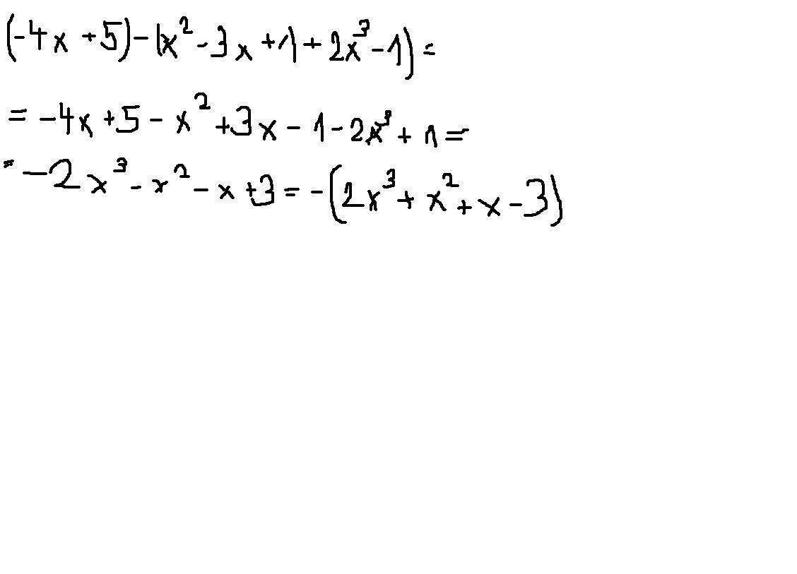
Zadanie z wielomianow czeba uporzodkowac i rozwiazac a) ( -4x+5 ) - (x d kwadratu - 3x +1 + 2x do szescianu -1 ) =

Zadanie 3720 (rozwiązane)

Ekspresowy Kurs Maturalny z matematyki

Zdajesz matematykę bo musisz? Przygotuj się do matury nawet w 7 dni! Zapisz się dzisiaj
Zadanie dodane przez Joanna270195 , 06.09.2012 13:46
Default avatar
Zadanie z wielomianow czeba uporzodkowac i rozwiazac
a) ( -4x+5 ) - (x d kwadratu - 3x +1 + 2x do szescianu -1 ) =

Nadesłane rozwiązania ( 1 )

Rozwiązanie 1 dodane przez Abaddon24 , 06.09.2012 18:51
Abaddon24 20111123224018 thumb
rozwiązanie w załączniku
Musisz się zalogować aby dodać komentarz

Znasz inny sposób na rozwiązanie tego zadania?

Dodaj swoje rozwiązanie

Dodaj swoje rozwiązanie:

Zabronione jest kopiowanie wszelkich treści!
Musisz się zalogować aby dodać rozwiazanie do zadania.
Strona korzysta z plików cookie w celu realizacji usług zgodnie z Polityką Prywatności. Możesz określić warunki przechowywania lub dostępu do cookie w twojej przeglądarce lub konfiguracji usługi.