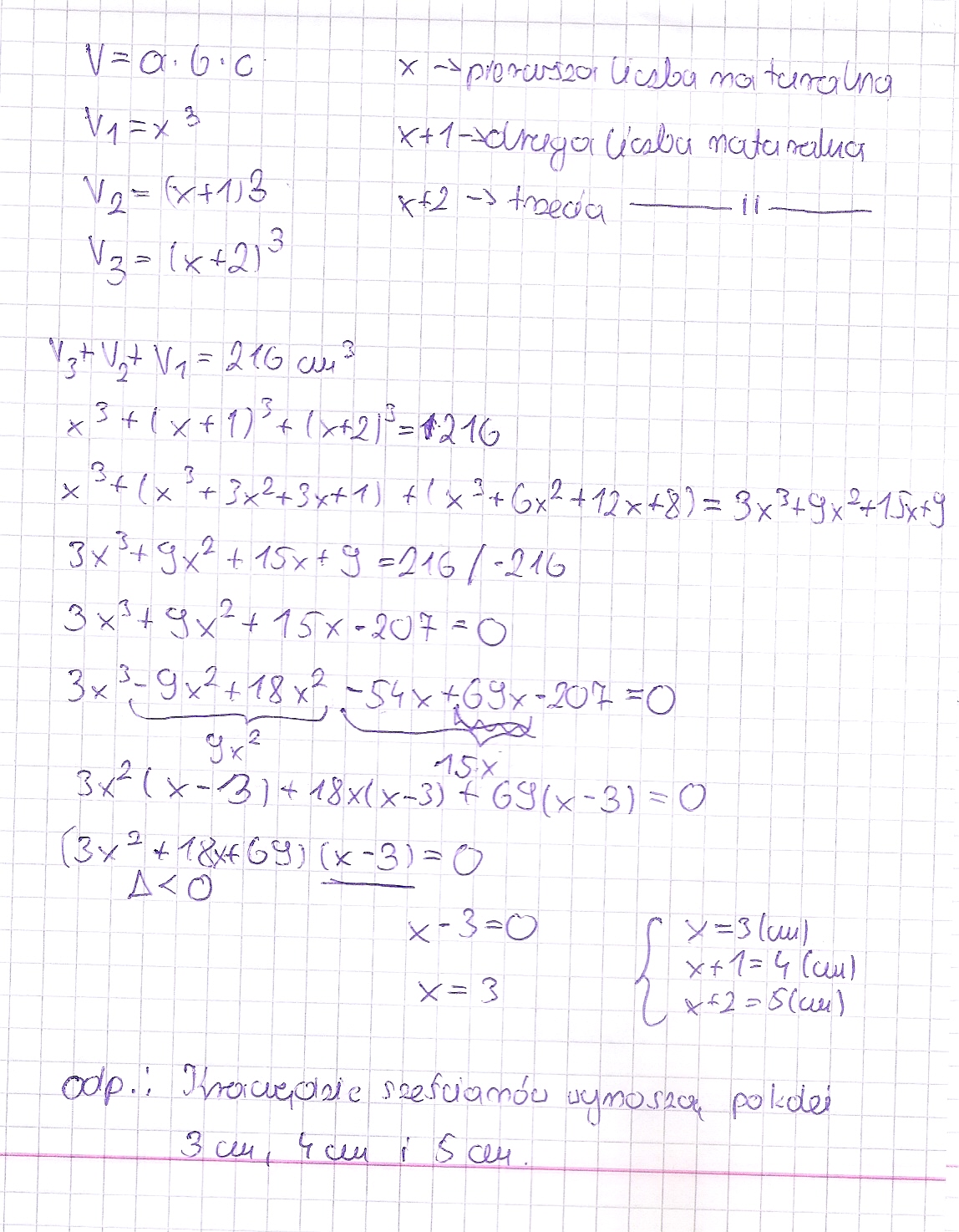
Suma objętości trzech sześcianów jest równa 216$cm^{2}$ . Wyznacz długości krawędzi tych sześcianów. Jeżeli wiesz, że są one trzema kolejnymi liczbami naturalnymi.

Zadanie 3903 (rozwiązane)

Ekspresowy Kurs Maturalny z matematyki

Zdajesz matematykę bo musisz? Przygotuj się do matury nawet w 7 dni! Zapisz się dzisiaj
Zadanie dodane przez klaudiaa2610 , 03.10.2012 18:59
Default avatar
Suma objętości trzech sześcianów jest równa 216cm^{2} . Wyznacz długości krawędzi tych sześcianów. Jeżeli wiesz, że są one trzema kolejnymi liczbami naturalnymi.

Nadesłane rozwiązania ( 2 )

Rozwiązanie 1 dodane przez marcin070294 , 03.10.2012 22:13
Marcin070294 20120930125632 thumb
Zadanie nietrudne, wystarczy się wsłuchać w treść. Zadanie podaje w załączniku
Musisz się zalogować aby dodać komentarz
Rozwiązanie 2 dodane przez marcin070294 , 03.10.2012 22:14
Marcin070294 20120930125632 thumb
Dodaje załącznik.
Musisz się zalogować aby dodać komentarz

Znasz inny sposób na rozwiązanie tego zadania?

Dodaj swoje rozwiązanie

Dodaj swoje rozwiązanie:

Zabronione jest kopiowanie wszelkich treści!
Musisz się zalogować aby dodać rozwiazanie do zadania.
Strona korzysta z plików cookie w celu realizacji usług zgodnie z Polityką Prywatności. Możesz określić warunki przechowywania lub dostępu do cookie w twojej przeglądarce lub konfiguracji usługi.