Zapisz wyrażenie w jak najprostszej postaci a)$\frac{1}{x+1} $ +$\frac{1}{x+x^2}$ b)$\frac{x+1}{x} $ -$\frac{1}{x+x^2}$ c)$\frac{x-3}{x^2-1} $ -$\frac{2}{x+1}$ d)$\frac{x-3}{x+1} $ -$\frac{4}{x+x^2}$ e)$\frac{x}{x-1} $ -$\frac{2x+1}{x^2+x-2}$ f)$\frac{4}{x^2-4} $ -$\frac{1}{x-2}$ g)$\frac{x+2}{x} $ +$\frac{4}{x^2-2x}$ h)$\frac{2x-1}{x-x^2} $ +$\frac{1}{x-1}$ i)$\frac{2x}{x+1} $ -$\frac{3-x}{x^2-1}$ j)$\frac{x}{x+2} $ +$\frac{3x-4}{x^2-x-6}$

Zadanie 4777 (rozwiązane)

Ekspresowy Kurs Maturalny z matematyki

Zdajesz matematykę bo musisz? Przygotuj się do matury nawet w 7 dni! Zapisz się dzisiaj
Zadanie dodane przez renata9494 , 02.12.2012 22:15
Renata9494 20121202220217 thumb
Zapisz wyrażenie w jak najprostszej postaci
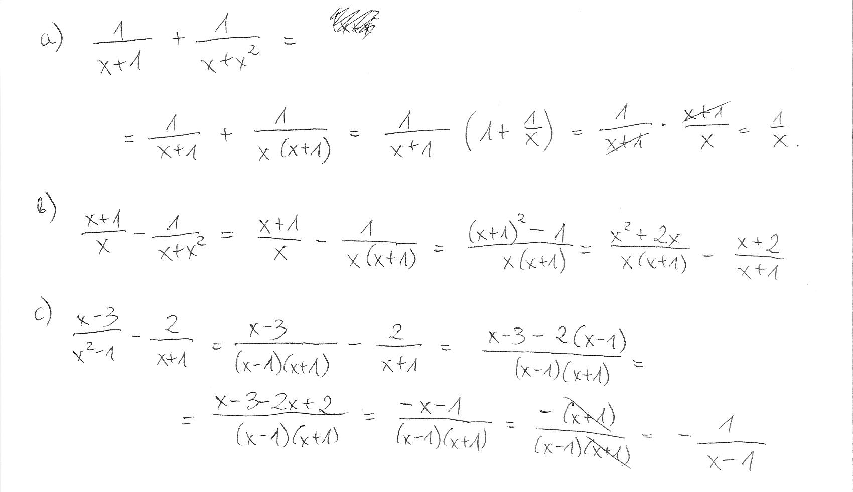
a)\frac{1}{x+1} +\frac{1}{x+x^2}
b)\frac{x+1}{x} -\frac{1}{x+x^2}
c)\frac{x-3}{x^2-1} -\frac{2}{x+1}
d)\frac{x-3}{x+1} -\frac{4}{x+x^2}
e)\frac{x}{x-1} -\frac{2x+1}{x^2+x-2}
f)\frac{4}{x^2-4} -\frac{1}{x-2}
g)\frac{x+2}{x} +\frac{4}{x^2-2x}
h)\frac{2x-1}{x-x^2} +\frac{1}{x-1}
i)\frac{2x}{x+1} -\frac{3-x}{x^2-1}
j)\frac{x}{x+2} +\frac{3x-4}{x^2-x-6}

Nadesłane rozwiązania ( 1 )

Rozwiązanie 1 dodane przez AnnaS , 08.12.2012 16:16
Annas 20120518205519 thumb
Ogólna zasada jest taka, że sprowadzamy te ułamki do wspólnego mianownika i porządkujemy licznik i mianownik, wyłączamy wspólny czynnik w liczniku, to samo w mianowniku i jeśli się da, to skracamy.
Czasem, jak w przykładzie a rozwiązanym w załaczniku, można najpierw coś wyłączyć, a potem doprowadzić do wspólnego mianownika.
Czasem, jak w przykładzie c, możemy skorzystać ze wzorów skróconego mnożenia.
    • Default avatar
      Luniax 06.02.2020 15:17

      A czy w tych rozwiązaniach nie ma przypadkiem błędu? Przy dodawaniu i odejmowaniu liczb trzeba sprowadzić do wspólnego mianownika

Musisz się zalogować aby dodać komentarz

Znasz inny sposób na rozwiązanie tego zadania?

Dodaj swoje rozwiązanie

Dodaj swoje rozwiązanie:

Zabronione jest kopiowanie wszelkich treści!
Musisz się zalogować aby dodać rozwiazanie do zadania.
Strona korzysta z plików cookie w celu realizacji usług zgodnie z Polityką Prywatności. Możesz określić warunki przechowywania lub dostępu do cookie w twojej przeglądarce lub konfiguracji usługi.