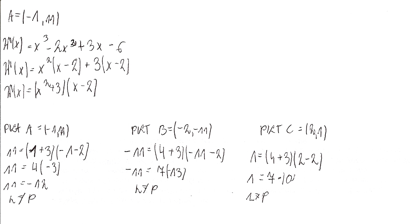
sprawdz czy punkty $A=(-1,11)$ $B=(-2,-11)$ $C=(2,1)$ NALEŻĄ DO WYKRESU WIELOMIANU $W(X)=X^3-2X^2+3X-6$

Zadanie 6374 (rozwiązane)

Ekspresowy Kurs Maturalny z matematyki

Zdajesz matematykę bo musisz? Przygotuj się do matury nawet w 7 dni! Zapisz się dzisiaj
Zadanie dodane przez roksi , 19.04.2013 19:27
Roksi 20130310112804 thumb
sprawdz czy punkty A=(-1,11) B=(-2,-11) C=(2,1) NALEŻĄ DO WYKRESU WIELOMIANU W(X)=X^3-2X^2+3X-6

Nadesłane rozwiązania ( 2 )

Rozwiązanie 1 dodane przez monijatcz , 20.04.2013 15:54
Monijatcz 20121028144130 thumb
Kazdy z punktów ma dwie współrzędne x i y. Jeśli po podstawieniu pierwszej współrzędnej za x do wielomianu otrzymamy drugą współrzędną to punkt należy do wykresu wielomianu

A=(-1;11)
W(-1)=(-1)^3-2*(-1)^2+3*(-1)-6=-1-2-3-6=-12 \neq 11 czyli punkt A nie należy do wykresu wielomianu

B=(-2,-11)
W(-2)=(-2)^3-2(-2)^2+3*(-2)-6=-8-8-6-6=-28\neq-11 czyli punkt B nie należy do wykresu wielomianu

C=(2,1)
W(2)=2^3-2*2^2+3*2-6=8-8+6-6=0\neq1 czyli punkt C nie należy do wykresu wielomianu
Musisz się zalogować aby dodać komentarz
Rozwiązanie 2 dodane przez malwin19937 , 20.04.2013 15:56
Malwin19937 20130322190518 thumb
rozw.
Musisz się zalogować aby dodać komentarz

Znasz inny sposób na rozwiązanie tego zadania?

Dodaj swoje rozwiązanie

Dodaj swoje rozwiązanie:

Zabronione jest kopiowanie wszelkich treści!
Musisz się zalogować aby dodać rozwiazanie do zadania.
Strona korzysta z plików cookie w celu realizacji usług zgodnie z Polityką Prywatności. Możesz określić warunki przechowywania lub dostępu do cookie w twojej przeglądarce lub konfiguracji usługi.