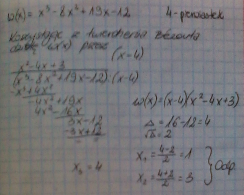
Pierwiastkiem wielomianu W (x)=x do potegi 3−8x do potęgi 2 +19 x−12 jest liczba 4 . Wskaż pozostałe pierwiastki tego wielomianu Prosiła bym dokładne rozwiązanie bo nic mi z samej odpowiedzi:)

Zadanie 6388 (rozwiązane)

Ekspresowy Kurs Maturalny z matematyki

Zdajesz matematykę bo musisz? Przygotuj się do matury nawet w 7 dni! Zapisz się dzisiaj
Zadanie dodane przez Marlena21 , 23.04.2013 08:18
Default avatar
Pierwiastkiem wielomianu W (x)=x do potegi 3−8x do potęgi 2 +19 x−12 jest liczba 4 . Wskaż pozostałe
pierwiastki tego wielomianu

Prosiła bym dokładne rozwiązanie bo nic mi z samej odpowiedzi:)

Nadesłane rozwiązania ( 1 )

Rozwiązanie 1 dodane przez Miyoko , 24.04.2013 15:52
Miyoko 20130404195545 thumb
rozwiązanie w załączniku ;)
Musisz się zalogować aby dodać komentarz

Znasz inny sposób na rozwiązanie tego zadania?

Dodaj swoje rozwiązanie

Dodaj swoje rozwiązanie:

Zabronione jest kopiowanie wszelkich treści!
Musisz się zalogować aby dodać rozwiazanie do zadania.
Strona korzysta z plików cookie w celu realizacji usług zgodnie z Polityką Prywatności. Możesz określić warunki przechowywania lub dostępu do cookie w twojej przeglądarce lub konfiguracji usługi.