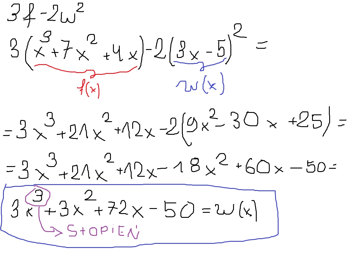
Bardzo proszę o pomoc w zadaniu Oblicz: 3f-2w^{2}, gdzie f(x)=x^{3}+7x^{2}+4x w(x)= 3x-5 Określ stopień otrzymanego wielomianu

Zadanie 6457 (rozwiązane)

Ekspresowy Kurs Maturalny z matematyki

Zdajesz matematykę bo musisz? Przygotuj się do matury nawet w 7 dni! Zapisz się dzisiaj
Zadanie dodane przez monia1000 , 31.05.2013 07:38
Monia1000 20130527140107 thumb
Bardzo proszę o pomoc w zadaniu

Oblicz: 3f-2w^{2}, gdzie f(x)=x^{3}+7x^{2}+4x
w(x)= 3x-5
Określ stopień otrzymanego wielomianu

Nadesłane rozwiązania ( 1 )

Rozwiązanie 1 dodane przez Abaddon24 , 31.05.2013 12:03
Abaddon24 20111123224018 thumb
Rozwiązanie zadania w załączniku

Stopień wielomianu to
    • Monia1000 20130527140107 thumb
      monia1000 31.05.2013 13:05

      Nie widzę załącznika.

    • Monia1000 20130527140107 thumb
      monia1000 01.06.2013 13:00

      Dzięki serdeczne, ja miałam problem dlaczego tam była liczba 30, ale zainteresowany mnie naprowadził, że to wg wzoru. Widzę, że zaczyna myśleć, a z tym miał największy kiedy używać tych wzorów skróconego mnożenia.

    • Abaddon24 20111123224018 thumb
      Abaddon24 01.06.2013 20:31

      Tak zgadza się to się wzięło z równania

      (a-b)^2 = a^2 - 2*a*b + b^2

    • Monia1000 20130527140107 thumb
      monia1000 02.06.2013 11:13

      W tej ostatniej linii chyba nie może być .....= w(x) Tak? czy nie?

    • Abaddon24 20111123224018 thumb
      Abaddon24 02.06.2013 22:11

      pomyłka tam może być wszystko oprócz "w(x)" i "f(x)" , zamiast w(x) napisz sobie np. a(x)
      Bo to musi być wielomian

Musisz się zalogować aby dodać komentarz

Znasz inny sposób na rozwiązanie tego zadania?

Dodaj swoje rozwiązanie

Dodaj swoje rozwiązanie:

Zabronione jest kopiowanie wszelkich treści!
Musisz się zalogować aby dodać rozwiazanie do zadania.
Strona korzysta z plików cookie w celu realizacji usług zgodnie z Polityką Prywatności. Możesz określić warunki przechowywania lub dostępu do cookie w twojej przeglądarce lub konfiguracji usługi.