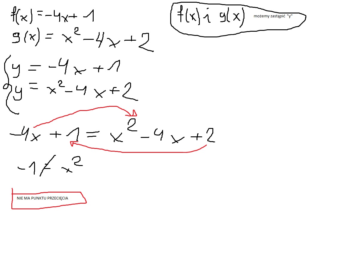
Bardzo proszę o rozwiązanie zadania Wyznacz punkty przecięcia wykresów f(x)= -4x+1 g(x)=x^{2}-4x+2

Zadanie 6458 (rozwiązane)

Ekspresowy Kurs Maturalny z matematyki

Zdajesz matematykę bo musisz? Przygotuj się do matury nawet w 7 dni! Zapisz się dzisiaj
Zadanie dodane przez monia1000 , 31.05.2013 07:46
Monia1000 20130527140107 thumb
Bardzo proszę o rozwiązanie zadania

Wyznacz punkty przecięcia wykresów
f(x)= -4x+1 g(x)=x^{2}-4x+2

Nadesłane rozwiązania ( 1 )

Rozwiązanie 1 dodane przez Abaddon24 , 31.05.2013 11:58
Abaddon24 20111123224018 thumb
Rozwiązanie w załączniku
    • Monia1000 20130527140107 thumb
      monia1000 31.05.2013 13:15

      dz b

Musisz się zalogować aby dodać komentarz

Znasz inny sposób na rozwiązanie tego zadania?

Dodaj swoje rozwiązanie

Dodaj swoje rozwiązanie:

Zabronione jest kopiowanie wszelkich treści!
Musisz się zalogować aby dodać rozwiazanie do zadania.
Strona korzysta z plików cookie w celu realizacji usług zgodnie z Polityką Prywatności. Możesz określić warunki przechowywania lub dostępu do cookie w twojej przeglądarce lub konfiguracji usługi.