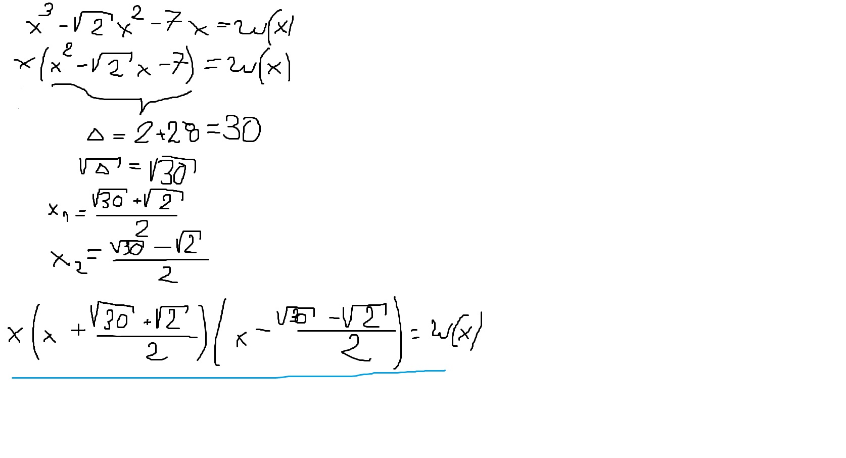
Rozłóż wielomian na czynniki: x^3-$\sqrt{2}$x^{2}-7x=w(x)

Zadanie 6463 (rozwiązane)

Ekspresowy Kurs Maturalny z matematyki

Zdajesz matematykę bo musisz? Przygotuj się do matury nawet w 7 dni! Zapisz się dzisiaj
Zadanie dodane przez monia1000 , 31.05.2013 08:29
Monia1000 20130527140107 thumb
Rozłóż wielomian na czynniki:

x^3-\sqrt{2}x^{2}-7x=w(x)

Nadesłane rozwiązania ( 1 )

Rozwiązanie 1 dodane przez Abaddon24 , 31.05.2013 11:34
Abaddon24 20111123224018 thumb
Poprawione w załącznik
    • Monia1000 20130527140107 thumb
      monia1000 31.05.2013 13:10

      Dziękuję..

    • Monia1000 20130527140107 thumb
      monia1000 02.06.2013 11:23

      Obliczanie delty 2+28= 32 /???/ - specjalnie, żeby myśleć? Dalszy ciąg wtedy będzie już zupełnie inny...

Musisz się zalogować aby dodać komentarz

Znasz inny sposób na rozwiązanie tego zadania?

Dodaj swoje rozwiązanie

Dodaj swoje rozwiązanie:

Zabronione jest kopiowanie wszelkich treści!
Musisz się zalogować aby dodać rozwiazanie do zadania.
Strona korzysta z plików cookie w celu realizacji usług zgodnie z Polityką Prywatności. Możesz określić warunki przechowywania lub dostępu do cookie w twojej przeglądarce lub konfiguracji usługi.