Podaj dziedzinę wyrażenia, a następnie je uprość: a. $\frac{x+2}{x^{2} + 5x + 6}$ = b. $\frac{x^{2}+3x}{x^{2}-9}$ = Rozwiąż równanie: b. \frac{x-2}{x-4} + \frac{x-3}{x-4} = 2x-5 c. \frac{x+1}{2} = \frac{8}{x-5} d. \frac{x-1}{x+2} = \frac{2-x}{2+1} Byłabym wdzięczna, gdyby ktoś rozwiązał nawet jeden z tych przykładów. Bardzo zależy mi na wytłumaczeniu!!!! :))

Zadanie 3769 (rozwiązane)

Ekspresowy Kurs Maturalny z matematyki

Zdajesz matematykę bo musisz? Przygotuj się do matury nawet w 7 dni! Zapisz się dzisiaj
Zadanie dodane przez blessya , 18.09.2012 17:49
Blessya 20120918174737 thumb


Podaj dziedzinę wyrażenia, a następnie je uprość:



a.

\frac{x+2}{x^{2} + 5x + 6} =



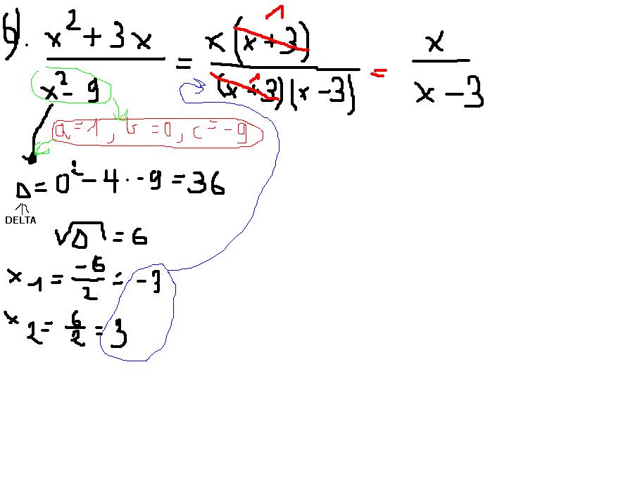
b.

\frac{x^{2}+3x}{x^{2}-9} =





Rozwiąż równanie:



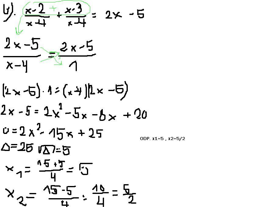
b.

\frac{x-2}{x-4} + \frac{x-3}{x-4} = 2x-5





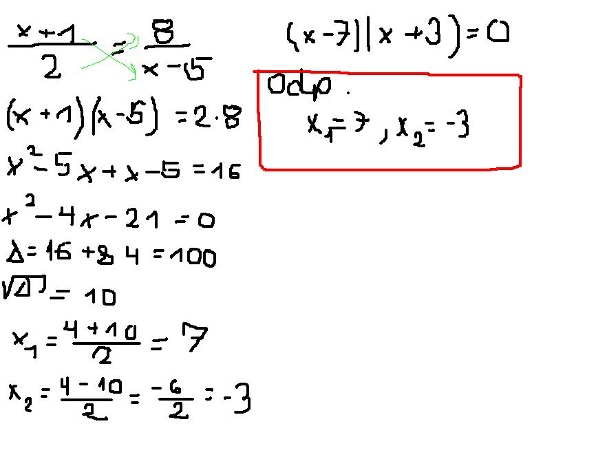
c.

\frac{x+1}{2} = \frac{8}{x-5}



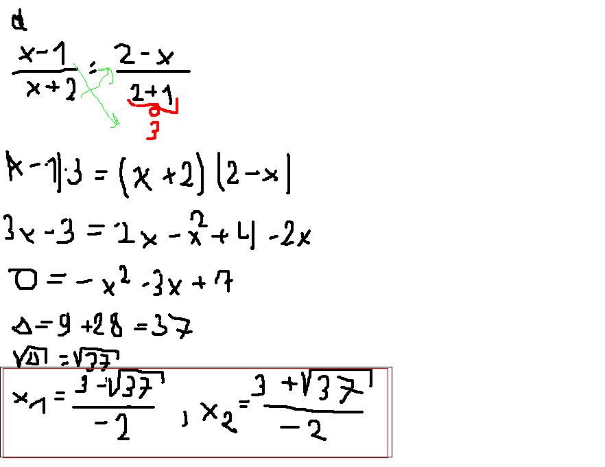
d.

\frac{x-1}{x+2} = \frac{2-x}{2+1}



Byłabym wdzięczna, gdyby ktoś rozwiązał nawet jeden z tych przykładów.

Bardzo zależy mi na wytłumaczeniu!!!! :))

Nadesłane rozwiązania ( 1 )

Rozwiązanie 1 dodane przez Abaddon24 , 19.09.2012 11:48
Abaddon24 20111123224018 thumb
Zobacz sobie OSTATNIE zadanie które napisałaś , tam gdzie są dwa ułamki
i zobacz sobie czy tam gdzie masz napisane (2+1) jest dobrze
z tego powodu bo obliczając deltę a później pierwiastek z delty, nie wychodzi liczba całkowita.

A tak to masz zrobione wszystkie zadania , tylko sobie je poszukaj w załącznikach :)
Musisz się zalogować aby dodać komentarz

Znasz inny sposób na rozwiązanie tego zadania?

Dodaj swoje rozwiązanie

Dodaj swoje rozwiązanie:

Zabronione jest kopiowanie wszelkich treści!
Musisz się zalogować aby dodać rozwiazanie do zadania.
Strona korzysta z plików cookie w celu realizacji usług zgodnie z Polityką Prywatności. Możesz określić warunki przechowywania lub dostępu do cookie w twojej przeglądarce lub konfiguracji usługi.