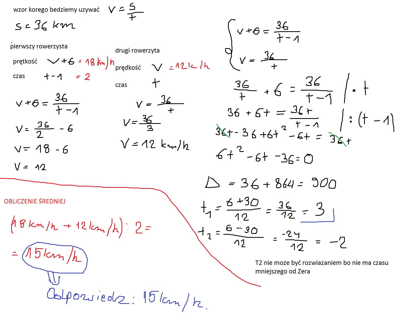
zad.5 Dwaj rowerzyści wyjechali równocześnie na trasę długości 36 km.Predkość pierwszego rowerzysty była o 6km\h większa niż prędkość drugiego,więc pokonał on trasę w czasie o godzinę krótszym niż drugi Oblicz średnia prędkośc obu rowerzystów.

Zadanie 6701 (rozwiązane)

Ekspresowy Kurs Maturalny z matematyki

Zdajesz matematykę bo musisz? Przygotuj się do matury nawet w 7 dni! Zapisz się dzisiaj
Zadanie dodane przez mariolka57 , 10.10.2013 12:10
Mariolka57 20111108070205 thumb
zad.5
Dwaj rowerzyści wyjechali równocześnie na trasę długości 36 km.Predkość pierwszego rowerzysty była o 6km\h większa niż prędkość drugiego,więc pokonał on trasę w czasie o godzinę krótszym niż drugi
Oblicz średnia prędkośc obu rowerzystów.

Nadesłane rozwiązania ( 1 )

Rozwiązanie 1 dodane przez Abaddon24 , 10.10.2013 22:53
Abaddon24 20111123224018 thumb
Rozwiązanie w załączniku
Musisz się zalogować aby dodać komentarz

Znasz inny sposób na rozwiązanie tego zadania?

Dodaj swoje rozwiązanie

Dodaj swoje rozwiązanie:

Zabronione jest kopiowanie wszelkich treści!
Musisz się zalogować aby dodać rozwiazanie do zadania.
Strona korzysta z plików cookie w celu realizacji usług zgodnie z Polityką Prywatności. Możesz określić warunki przechowywania lub dostępu do cookie w twojej przeglądarce lub konfiguracji usługi.