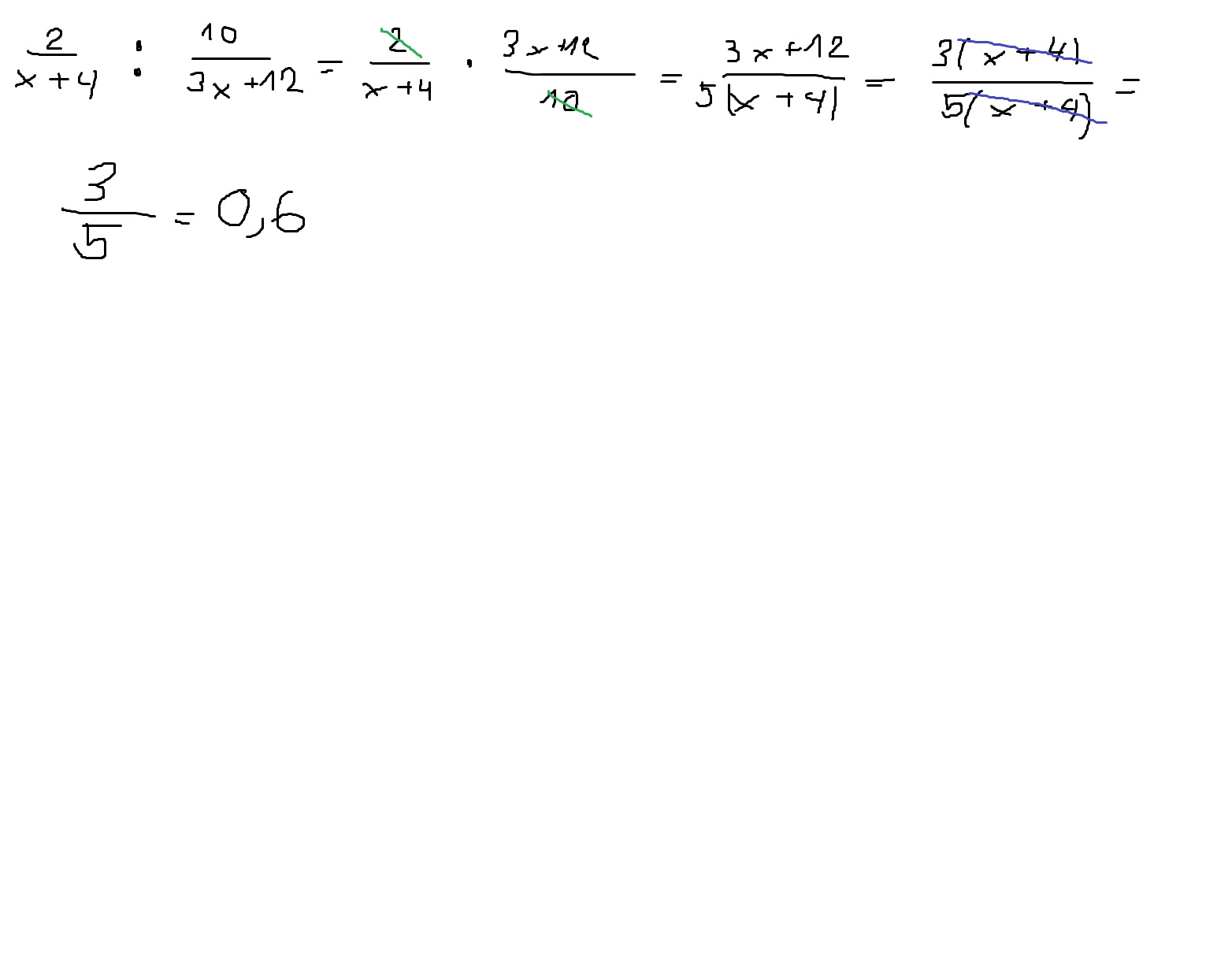
Wykonaj dzielenie,.Odpowiedz podaj w najprostszej postaci. a) (2)$franc(x+4):10$\franc(3x+12)

Zadanie 6702 (rozwiązane)

Ekspresowy Kurs Maturalny z matematyki

Zdajesz matematykę bo musisz? Przygotuj się do matury nawet w 7 dni! Zapisz się dzisiaj
Zadanie dodane przez mariolka57 , 10.10.2013 12:27
Mariolka57 20111108070205 thumb
Wykonaj dzielenie,.Odpowiedz podaj w najprostszej postaci.
a) (2)franc(x+4):10\franc(3x+12)

Nadesłane rozwiązania ( 1 )

Rozwiązanie 1 dodane przez Abaddon24 , 10.10.2013 23:06
Abaddon24 20111123224018 thumb
Rozwiązanie w załączniku
    • Anuuila 20120111164032 thumb
      anuuila 11.10.2013 14:07

      Rozwiązania dodajemy w formułach LATEX! Nie w załącznikach !

Musisz się zalogować aby dodać komentarz

Znasz inny sposób na rozwiązanie tego zadania?

Dodaj swoje rozwiązanie

Dodaj swoje rozwiązanie:

Zabronione jest kopiowanie wszelkich treści!
Musisz się zalogować aby dodać rozwiazanie do zadania.
Strona korzysta z plików cookie w celu realizacji usług zgodnie z Polityką Prywatności. Możesz określić warunki przechowywania lub dostępu do cookie w twojej przeglądarce lub konfiguracji usługi.