Wybierz dział:

Zadanie 4073 (rozwiązane)

Dwa boki trójkąta maja długośc 3\sqrt{3} i 6, a kat między nimi zawarty ma miarę 30^{circ}. Pole tego trójkąta wynosi:
a). \frac{27}{2}
b). 9\sqrt{3}
c). 9 pierwistek z 3 dzielone przez 2
d). 9 pierwiastek z 6 dzielone przez 2

Dziękuję

Zadanie 4072 (rozwiązane)

Przekatne rombu mają dł.6cm i 8cm. Dł.wysokości tego rombu wynosi:
a).4,8cm
b).6cm
c). 6,4cm
d). 8cm
Dziękuję

Zadanie 4071 (rozwiązane)

Proszę o rozwiązanie krok po kroku

Pole trójkąta równobocznego o boku dl.6cm wynosi:
a). 3\sqrt{3}cm
b). 18\sqrt{3}cm
c). 9\sqrt{3}
d). 36\sqrt{3}
Dziękuję

Zadanie 4070 (rozwiązane)

Wyznacz zbiory: A' , B' , A'nB' gdy:
a)A=(-3;0),B=<1/2;3>
b)A=<-4;4>,B=(0;2)
c)A=(-∞;1)U(3;∞), B=<-4;4>
d)A=(-∞;0)U(1;5), B=(-5;-1)

Zadanie 4069 (rozwiązane)

Zaznacz na osi liczbowej zbiory A i B, a następnie wyznacz zbiory:AuB,AnB,A\B,A/B.
A=(-2;0>u{3},B=<3;5>

Zadanie 4068 (rozwiązane)

Zaznacz zbiór X na osi liczbowej.
X=(-∞;-2)U{0;1}U<4;∞)

Zadanie 4067 (rozwiązane)

Podstawą graniastosłupa protego jest romb o przekątnych długości 15 cm i 20 cm. Wiedząc, że wysokość tego graniastosłupa jest równa 17 cm, oblicz jego pole powierzchni całkowitej.

Zadanie 4066 (rozwiązane)

Wysokość graniastosłupa prostego jest równa 11 cm, a jego podstawą jest trójkąt równoramienny o jednym z kątów 120^{\circ} i ramionach długości 14 cm. Oblicz pole powierzchni bocznej tego graniastosłupa.

Zadanie 4065 (rozwiązane)

Dla jakich m, równanie podane w załączniku ma dokładnie 2 pierwiastki.

Po uproszczeniu równanie ma postać:

4x^{2} - 2mx + m - 2 = 0, dla x\in (-\infty;-1) \cup (1;+\infty)

Wiem, że nie istnieje takie m, aby równanie miało dokładnie 2 pierwiastki, ale jak to udowodnić (nie na przykładach)...

*dla nadgorliwych: Nie, rozwiązaniem nie jest m\in R

Zadanie 4064

tg\gamma tg 0,05= wynik zamieniony na stopnie i minuty
tg \rho tg 0,016=wynik zamieniony na stopnie i minuty

tg(\gamma+\rho)=

Zadanie 4063 (rozwiązane)

Proszę o pomoc w podanych przykładach. Mniej więcej znam wyniki ,ale ciężko mi do tego samej dojść..

Polecenie brzmi:
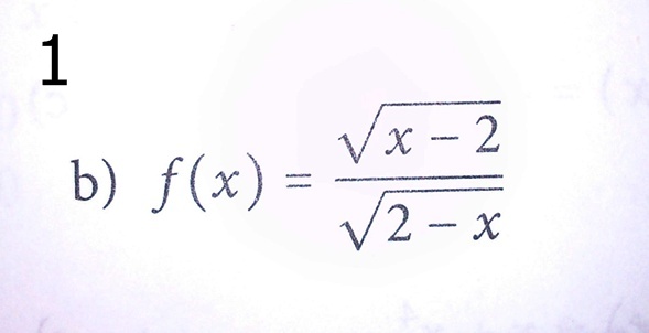
Wyznacz dziedzinę funkcji.

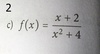
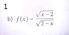
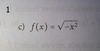
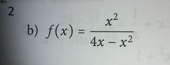
Zadanie 4062 (rozwiązane)

Przykład 2.:
Na -letnią lokatę wpłacono 3000 zł i po jej zakończeniu kwota ta wzrosła o 240 zł. Jakie było oprocentowanie, jeżeli odsetki były kapitalizowane co kwarta

K=Ko (1+ r/m) n*m

3240= 300( 1+ r/100/4)3*4

1.08= (1+ r/400)*12

1.006434= 1+ r/400

Może mi ktoś wytłumaczyć skąd się wzięło 1,006434?
Z góry Dziękuje :)

Zadanie 4061 (rozwiązane)

oblicz granicę :
$\{array}{c} lim \\ n \rightarrow \infty \end{array} (3/n)-10*\sqrt{n}

Zadanie 4060 (rozwiązane)

Obwód trójkąta równoramiennego jest równy 32 cm . Podstawa trójkąta jest o 1 cm dłuższa od ramienia . Ramię yrójkąta ma długośc ; A. 11cm B . 10 cm C 11 i jedna trzecia D. 10 i jedna trzecia .

Zadanie 4059 (rozwiązane)

Oblicz wyznacznik macierzy:
[ -4 1 1 1 1
1 -4 1 1 1
1 1 -4 1 1
1 1 1 -4 1
1 1 1 1 -4]

Zadanie 4058 (rozwiązane)

rozwiąż rówanie

( x^{2}+1 )(2x-1)=2x(2x-1)

Zadanie 4057 (rozwiązane)

rozwiąż równanie:
a) 8x^{3}+12x^{2}+6x+1=0

Zadanie 4056 (rozwiązane)

rozwiąż równanie:
a) 8x^{3}+$12x^{2}+6x+1=0

Zadanie 4055 (rozwiązane)

rozwiąż równanie:
a) 8x^{3}+12x^{2}+6x+1=0
<br>
<br>b) (x^{2}$+1)(2x-1)=2x(2x-1)

Zadanie 4054 (rozwiązane)

rozwiąż równanie:
a) 8x^{3}+12x^{2}+6x+1=0
<br>b) (x^{2}$+1)(2x-1)=2x(2x-1)

Zadanie 4053 (rozwiązane)

((6 do potęgi 1/3) do potęgi 2 : 6 do potęgi -1/3) do potęgi 2 : 4 do potęgi 0,5

Zadanie 4052 (rozwiązane)

(4 do potęgi 1/3 * (0,5) do potęgi -1/3) do potęgi -2

Zadanie 4051 (rozwiązane)

(0,5) do potęgi -1 * 4 do potęgi 0,7 * (0,25) do potęgi -0,3

Zadanie 4050 (rozwiązane)

5 do potęgi -4/3 : 25 do potegi -3/2 * (0,2) do potęgi 2/3

Zadanie 4049 (rozwiązane)

(7 do potęgi -0,7 : 7 do potęgi 2/5 * 7 do potęgi -0,9) do potęgi 1/2
1 2 ... 153 154 155 157 159 160 161 ... 305 306