Wybierz dział:

Zadanie 5439 (rozwiązane)

proszę o rozwiązanie z wyjaśnieniem:
rozwiąż równanie: x-3\sqrt{x-1}-1=0

Zadanie 5437 (rozwiązane)

Oblicz najmniejszą i największą wartość funkcji kwadratowej y= x^2 - 2x +5 w przedziale
<0 ,4 >

Zadanie 5436 (rozwiązane)

Funkcja kwadratowa f(x) przyjmuje wartość największą równą 4, a zbiorem rozwiązań nierówności f(x)>0 jest przedział x należy do (-1, 3). Wyznacz wzór funkcji kwadratowej.

Zadanie 5434 (rozwiązane)

2\sqrt{18}+\sqrt{50}

Zadanie 5433 (rozwiązane)

2.Zbadaj monotoniczność oraz wyznacz ekstrema lokalne funkcji.
a) f(x)=x^3-4x^2+12x+7
b) f(x)=x^3+2x^2+4x-1
c) f(x)=2x^3-9x^2-24x+12

Zadanie 5432

Zbadaj przebieg funkcji
f(x)=x^3+3x^2-4
1)dziedzina funkcji
2)granica funkcji
3)punkt przecięcia z osiami
4)asymptoty
5)parzystość, nieparzystość
6)pierwszą pochodną i przyrównać do 0
7) punkty podejrzane o ekstremum
8)monotoniczność funkcji
9) drugą pochodną
10)wypukłość funkcji
11)punkt przegięcia
12)tabela
13)wykres funkcji

Zadanie 5431 (rozwiązane)

Oblicz pochodne podanych funkcji:

g) f(x)=e^(3x^2-5)
h) f(x)=sin⁡(√x)
i) f(x)=tg(3x^3-2x)

Zadanie 5430 (rozwiązane)

Liczba log0,2+log0,5 jest równa ?

Zadanie 5429 (rozwiązane)

uzasadnij ,że liczba 6do potęgi 15-6 do potegi13-6 + 6 do potęgi 14 jest podzielna przez 41

Zadanie 5428 (rozwiązane)

Iloraz liczby log_{9} 256 i log_{9} 128 wynosi ?

Zadanie 5427

Dany jest Ciąg o wyrazie ogólnym $a_{n}=\frac{(n+1)! x (2n)!}{(2n+1)! x n!} nalezy do N dodatnich . Zbadaj monotonicznosc tego ciagu . Sprawdz, ile wyrazow tego ciagu jest wiekszych od \frac{11}{21.}

Zadanie 5426

Podstawą ostrosłupa prawidłowego jest trójkąt równoboczny o długości krawędzi równej 5. Oblicz tangens kąta dwuściennego między ścianą boczną i podstawą ostrosłupa, wiedząc, że wysokość ostrosłupa jest równa 15 ;)

Zadanie 5425 (rozwiązane)

Liczba log^{2} 200 - log^{2} 2 jest równa

Zadanie 5424 (rozwiązane)

Iloraz liczby log_{9} i log_{9} wynosi ?

Zadanie 5423 (rozwiązane)

Określ dziedzinę funkcji f i naszkicuj jej wykres.
f(x)= 1/x

Zadanie 5422 (rozwiązane)

Na rysunku przedstawiono wykres funkcji f: (-5,4)-> R. Podaj jej przedziały monotoniczności.Wskaż zdania prawdziwe.
A:f jest nierosnąca w <-4,2>
B:f jest niemalejąca w (-5,-2>
C:f jest niemalejąca w <2,4)

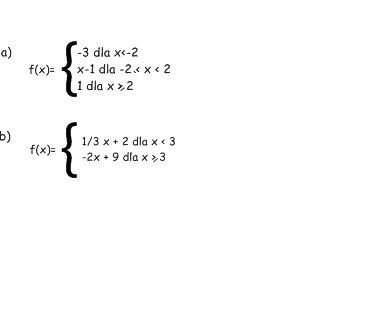
Zadanie 5421

Naszkicuj wykres funkcji f: R -> R.

Zadanie 5420 (rozwiązane)

Dla funkcji f: R -> R sporządź odpowiednią tabelę wartości funkcji, a następnie naszkicuj jej wykres.

f(x)=3IxI

Zadanie 5418

Naszkicuj wykres funkcji f: (-5;6) ->R spełniającej warunki:
a)f rośnie w (-5,-1> i w <3,6) oraz maleje w <-1,3>
b) f jest stała w (0;4}, rośnie w {4;5), maleje w (-5;0} i w {5;6)

Zadanie 5417 (rozwiązane)

Bardzo prosze o pomoc w rozwiązaniu zadań ...

Zadanie 5416 (rozwiązane)

zad 1 str 270
janek ma w tym semestrze nastepujace oceny z jezyka polskiego 5,5,3,4,3,3,4.
a)oblicz średnia ocen janka z jezyka polskiego wynik podaj z dokładnośćia do 0,01
b) oblicz wariancję i odchylenie standardowe. wynik podaj z dokładnośćia do 0,01

Zadanie 5415 (rozwiązane)

zad 6 str 259
Rzuć czterema monetami zanotuj liczbe orłów i powtórz to dośwadczenie 12 razy nastepnie wyznacz średnia medianę i dominantę danych uzyskanych w tym dośwadczeniu.

Zadanie 5414 (rozwiązane)

zad 4 str 259
dane pewnej cechy tworza zbiur uporzadkowany 1,2,2,3,4,5,. dołacz do tego zbioru jedna taka nowa dana aby mediana otrzymanego zbioru danych
a) zwiekszyła sie
b) nie zmieniła sie
C) zmniejszyła sie

Zadanie 5413 (rozwiązane)

zad 3 str 294
Znajdź pięć początkowych wyrazów ciagu geometrycznego an , jeśli:
a) a1=2,......a2=10
b)a2=4,...,a1=2
c)a4=-1/3,.....,a5=1/9
d)a2=1/2,....a6=2
e)a3=pierwiastek z 3,....a6=27 pierwiastków z 3
f)a1=6,...,a5=1/9a3

Zadanie 5410 (rozwiązane)

Treść zadania:
zad 1 str 294
sprawdź który spośród danych ciągów jest ciągiem geometrycznym
a) (1,3,9,27,81,243)
b) An= 2n
c) Bn=n^2
d)Vn=3^n razy 2^n-1
e)Cn=2^n
1 2 ... 103 104 105 107 109 110 111 ... 305 306