Wybierz dział:

Zadanie 1995 (rozwiązane)

Podaj przykład liczb całkowitych dodatnich a oraz b, spełniających nierówność:

59

Zadanie 1994 (rozwiązane)

Rozwiąż równanie: ax-5=4x+b w zależności od parametrów a i b.

Zadanie 1993 (rozwiązane)

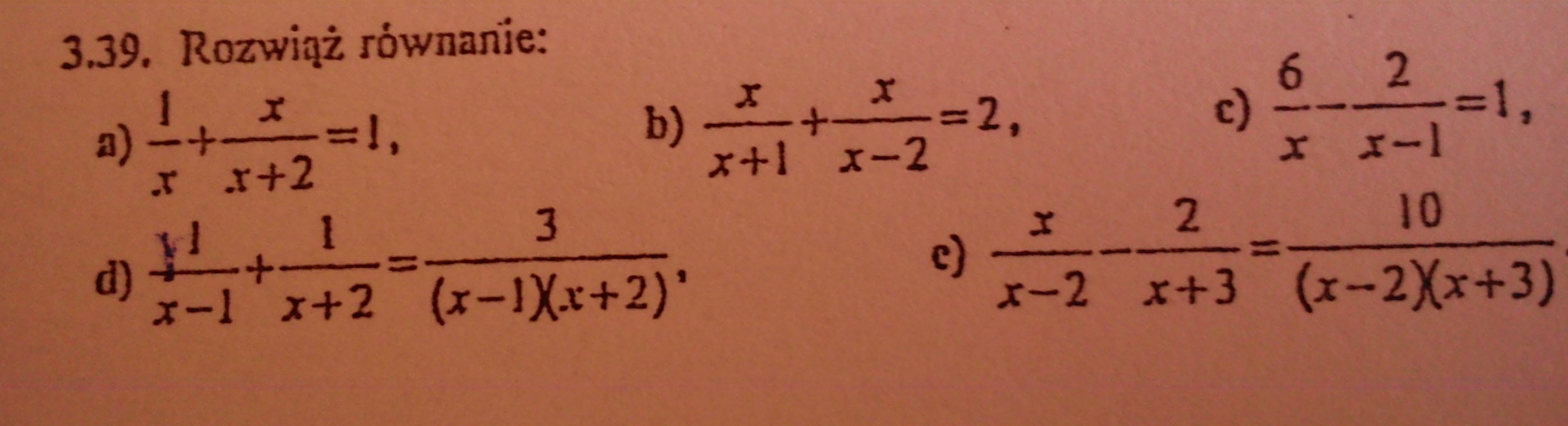
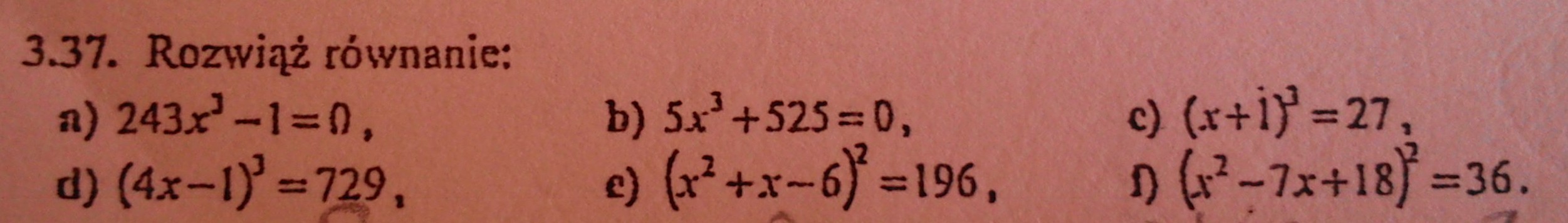
Pilnie potrzebuję rozwiązania zadań z równań wymiernych i równań wielomianowych.

Zadania w załączniku.
Z góry dziękuję za odpowiedzi

Zadanie 1992 (rozwiązane)

przekątna szescianu ma długość 6. obliczyć pole powierzchni całkowitej i obiętość sześcianu?

Zadanie 1991 (rozwiązane)

Dany jest wielomian trzeciego stopnia o współczynniku 1 przy najwyższej potędze. Pierwiastki tego wielomianu tworzą rosnący ciąg geometryczny o pierwszym wyrazie 4. Suma pierwiastków wielomianu jest równa 19.
a) wyznacz zbiór tego wielomianu
b) rozwiąż nierówność W(x)(x-4)mniejszy równy 0.

Zadanie 1990 (rozwiązane)

Wyznacz wszystkie wartości parametru m, dla których wielomian W(x)=(m-4)x^{4}-4x^{2}+m-3 ma cztery pierwiastki.

Zadanie 1989

Pacjentom leczonym w szpitalu z powodu pewnej jednostki chorobowej badano poziom krwinek czerwonych we krwi. W losowo wybranej próbie 10 pacjentów otrzymano następujące wyniki (w mln/mm3): średnia=3,6 mln/mm3, odchylenie standardowe 0,22mln/mm3. Zakładając, że rozkład krwinek czerwonych jest w przybliżeniu normalny oszacować z wiarygodnością 0,95 średni poziom krwinek czerwonych we krwi osób cierpiących na tę jednostkę chorobową.

Zadanie 1987 (rozwiązane)

Skróć wyrażenie wymierne W(x)=w liczniku: x^{3}-6x+5 w mianowniku: x^{4}+x^{2}-2.

Zadanie 1986 (rozwiązane)

Wyznacz parametr \alpha tak, aby \alpha należy <0,2π> oraz reszta z dzielenia wielomianu W(x)=x^{3}-2x^{2}-2x+4sin\alpha przez x-3 była równa 1.


Moje rozwiązanie:
R(x) - reszta
R(x)=ax+b=1
W(x)=P(x)(x-3)+R(x)
W(3)=1
27-18-6+4sin\alpha=1
4sin\alpha=-2/:4
sin\alpha=-\frac{1}{2}
\alpha=?

Zadanie 1985 (rozwiązane)

Dany jest wielomian W(x)=(x^{2}+2x-24)(x-m^{2}-3m). Wyznacz wszystkie wartości parametru m, dla których wielomian ma dwa pierwiastki.

Zadanie 1984 (rozwiązane)

liczba log^{2}_{6}2+log_{6}2*log_{6}3 jest rowna?






Zadanie 1983 (rozwiązane)

liczba log^{2}500-log^{2}2 jest rowna?

Zadanie 1982 (rozwiązane)

liczba 3+log male 3 duze 2 jest rowna?

Zadanie 1981 (rozwiązane)

ile wynosi 3log5+log8. czy to liczba mniejsza,rowna,wieksz od 3 czy to liczba niewymierna?

Zadanie 1980

liczba 81^{log2} jest rowna

Zadanie 1979 (rozwiązane)

jezeli a=b+log c to ile wynosi c?

Zadanie 1978 (rozwiązane)

Rozłóż na czynniki wielomian W(x)=x^{3}+x^{2}-3-3\sqrt{3}.

Zadanie 1977 (rozwiązane)

Wielomian W(x) jest trzeciego stopnia i przyjmuje wartości dodatnie jedynie w zbiorze (-3,1)U(4,+\infty). Wartość wielomianu w punkcie x=-2 jest równa 54. Wyznacz wzór tego wielomianu.

Zadanie 1976 (rozwiązane)

Wiedząc że log 4 = ale takie falowane 6 oraz log 5 = takie falowane 0,7 , oblicz log 2,5.

Zadanie 1975 (rozwiązane)

Oblicz : 9 do potęgi ułamek na minusie 3 z 4 * 27 do potęgi ułamek na minusie 3 z 2 ? Nawet nie wiem jaka to jest kategoria ...

Zadanie 1974 (rozwiązane)

Ramie trójkąta równoramiennego ma długość 29 cm a wysokość poprowadzona do podstawy 21 cm. Jaka jest długość promienia okręgu wpisanego w ten trójkąt?

Zadanie 1973 (rozwiązane)

Jak to zrobić logg 15 - logg ułamek 20 z 3 + 2 logg 6 =

Zadanie 1972 (rozwiązane)

Dwaj tynkarze pracując razem,otynkują ścianę w ciągu 3 godzin.Gdyby pierwszy z nich sam tynkował tę ścianę przez 1 godzinę,a drugi przez 6 godzin to otynkowaliby 3/4 ściany. W ciągu ilu godzin każdy z tynkarzy może otynkować tę ścianę samodzielnie?

Zadanie 1971 (rozwiązane)

Dany jest ciąg o wzorze ogólnym:
a_{n} = \frac{1+3+5+...+(2n+1)}{n+2} - n
a) oblicz 98 wyraz ciągu (a_{n})
b) Zbadaj monotoniczność tego ciągu.

Zadanie 1970 (rozwiązane)

Z urny, w której znajdują się kule o numerach 1,2,...,n (n>2), losujemy kolejno bez zwracania dwie kule. Numery wylosowanych kul tworzą parę (x, y). Dla jakich wartości n prawdopodobieństwo tego, że para (x, y) spełnia warunek |x - y|=2, jest mniejsze od 0,25.
1 2 ... 230 231 232 234 236 237 238 ... 305 306