Wybierz dział:

Zadanie 1810 (rozwiązane)

Cenę pewnego towaru podwyższono najpierw o 20% a potem jeszcze o 10%. Rzeczywista podwyżka w procentach wyniosła?
a) 20%
b) 30%
c) 32%
d) 34%

Zadanie 1809 (rozwiązane)

Dany jest trójkąt prostokątny o przyprostokątnych 12 i 5. Wyznacz promień okręgu wpisanego w ten trójkąt

Zadanie 1808 (rozwiązane)

rozwiaz rownanie (x-2)=p oraz rownanie (x+4)=p
dla p=(3-(2-3))

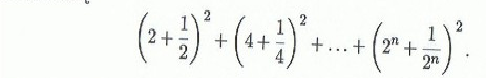
Zadanie 1806 (rozwiązane)

oblicz sume:

Zadanie 1805 (rozwiązane)

Naszkicuj wykres funkcji f i podaj jej przedziały monotoniczności.

a) f(x)= 1+ \frac{4}{x}
b) f(x)= 3- \frac{2}{x}
c) f(x)= -\frac{2}{x+3}
d) f(x)= \frac{2}{x-2}

Zadanie 1804 (rozwiązane)

Naszkicuj wykres funkcji f. Podaj dziedzinę tej funkcji i równania asymptot jej wykresu.

a) f(x)= 2/x-4
b)f(x)= -1/x-1
c) f(x)= -2/x-2

Zadanie 1803 (rozwiązane)

Do pociągu składającego się z 3 wagonów wsiada 6 pasażerów. Oblicz prawdopodobieństwo tego, że do pierwszego wagonu wsiądzie 2 pasażerów.

Zadanie 1802 (rozwiązane)

Wykres funkcji y=2^{x-5} powstaje przez przesunięcie wykresu funkcji y=2^{x} :
a) wzdłuż osi X o 5 jednostek w lewo
b) wzdłuż osi X o 5 jednostek w prawo
c) wzdłuż osi Y o 5 jednostek w dół
d) wzdłuż osi Y o 5 jednostek w górę

Zadanie 1801 (rozwiązane)

Wybieramy w sposób losowy trzy spośród wszystkich wierzchołków sześcianu. Oblicz prawdopodobieństwo zdarzenia polegającego na otrzymaniu trójkąta o największym z możliwych polu.

Zadanie 1800 (rozwiązane)

1. Autobus, w którym jedzie 6 pasażerów, zatrzymuje się na 9 przystankach. Oblicz prawdopodobieństwo tego, że każdy z pasażerów wysiądzie na innym przystanku.

2. Do pociągu składającego się z 3 wagonów wsiada 6 pasażerów. Oblicz prawdopodobieństwo tego, że do pierwszego wagonu wsiądzie 2 pasażerów.

Zadanie 1799 (rozwiązane)

Wybieramy w sposób losowy trzy spośród wszystkich wierzchołków sześciokąta foremnego. Oblicz prawdopodobieństwo zdarzenia polegającego na wylosowaniu trzech wierzchołków trójkąta o polu:
a) najmniejszym z możliwych,
b) największym z możliwych.

Zadanie 1798 (rozwiązane)

Oblicz log_{27}tg\frac{16π}{3}.

Proszę o rozwiązanie krok po kroku, bo tu nie mam zielonego pojęcia jak się za to zabrać :<

Zadanie 1797 (rozwiązane)

Wyznacz dziedzinę funkcji f(x)=log(x^{3}-7x^{2}+6)-log(25-x^{2}).

Ja zrobiłem to tak:
x^{3}-7x^{2}+6>0
25-x^{2}>0

25-x^{2} -> 5=x ; -5=x

x^{3}-7x^{2}+6 pierwiastkiem tego wielomianu jest 1, więc stosuję tw. Bezout'a:
x^{3}-7x^{2}+6:(x-1)=x^{2}+x-6
x^{2}+x-6>0
\Delta=25 pierwiastek z delty = 5
x_{1}=2 x_{2}=-3

Wykres zaczynam rysować od góry.

Pytanie jest następujące, gdzie się pieprznąłem?

Zadanie 1796 (rozwiązane)

Dana jest funkcja f(x)=2\sqrt{x}. Wzór funkcji, której wykres powstaje przez symetrię osiową względem osi Y, to ?

Zadanie 1795 (rozwiązane)

Zapisz wzór funkcji f(x)=|3x-12| - |x+2| bez symbolu wartości bezwzględnej , jeśli wiadomo, że dziedziną funkcji jest przedział (-2,4).

Zadanie 1794 (rozwiązane)

Funkcja f przyporządkowuje każdej liczbie x należącej do zbioru {\frac{1}{2},1,\sqrt{2},2,4,8} liczbę log_{2}x. Sporządź tabelę wartości funkcji f.

Zadanie 1793 (rozwiązane)

Wyznacz miejsca zerowe funkcji
- x^{2} +4, gdy x należy (-oo, 2)
2x - 6, gdy x należy <2, +oo)

Zadanie 1792 (rozwiązane)

(z^2+16i)(5z+iz-4i)=0 Rozwiązać i zapisać w postaci kartezjańskiej,liczby zespolone.

Zadanie 1791 (rozwiązane)

Do wykresu funkcji f(x) = 3^{x} należy punkt A = (a, \sqrt{3}) . Zatem:
a= -2
b= 2
c= - \frac{1}{2}
d= \frac{1}{2}

Zadanie 1790 (rozwiązane)

Dana jest funkcja: (załącznik)

Zadanie 1789 (rozwiązane)

zadanie w załączniku i prosze opiszcie jak to tego doszliscie :) zadanie w załaczniku tzn na rysunku

Zadanie 1788 (rozwiązane)

wyznacz dziedzinę uprość wzór naszkicuj wykres funkcji f
f(x)=LaTeX\frac{x^3+x}{x}

Zadanie 1787 (rozwiązane)

wyznacz dziedzinę, uprość wzór, a następnie naszkicuj wykres funkcji f
f(x)=x^3+x nad x

Zadanie 1786 (rozwiązane)

Z cyfr 2, 3, 4, 5, 6 losujemy kolejno bez zwracania trzy razy po jednej cyfrze i tworzymy liczbę trzycyfrową. Pierwsza wylosowana cyfra jest cyfrą jedności, a trzecia cyfrą setek. Oblicz prawdopodobieństwo, że utworzona w taki sposób liczba jest nieparzysta, a suma jej cyfr jest równa co najmniej 14.

Ja zrobiłem to tak:
|Ω|=5*4*3=60
A - utworzona w taki sposób liczba jest nieparzysta, a suma jej cyfr jest równa co najmniej 14
Liczb nieparzystych jest: 2*4*3=24
A={365, 563, 645, 465}
|A|=4
P_(A)=\frac{|A|}{|Ω|}=\frac{4}{60}=\frac{1}{15}
Co mam tu źle?

Zadanie 1785 (rozwiązane)

zadanie w załączniku i prosze opiszcie jak to tego doszliscie :) zadanie w załaczniku tzn na rysunku
1 2 ... 237 238 239 241 243 244 245 ... 305 306